CHP Genel Başkanı 'AK Toroslar'ı açıkladı
CHP Genel Başkanı Özgür Özel, "AK Toroslar" olarak tanımladığı ve İstanbul Büyükşehir Belediyesi'ne (İBB) yönelik soruşturmaların yargı ayağına ilişkin isimleri belgeleriyle açıkladı
14.08.2025 13:51:00 / Güncelleme: 14.08.2025 14:04:05
Haber Merkezi
Haber Merkezi





Cumhuriyet Halk Partisi (CHP) Genel Başkanı Özgür Özel, İstanbul Bayrampaşa'da düzenlenen "Millet İradesine Sahip Çıkıyoruz" mitinginde, "Yarın 12.00'de AK Parti'ye kuruluş yıldönümü hediyen geliyor. AK Toroslar çetesi çöküyor, AK Parti çöküyor. Yüzünüz kaça çalacak göreceğiz" açıklamasını yapmıştı.
Özel, konuya ilişkin CHP Genel Merkezinde bugün basın toplantısı düzenledi.
"Bizim 47 yıl gösterdiğimiz dirayeti 47 gün göstermeyen, demokrasiyi 31 Mart'tan sonra inilecek bir tren olarak gören, bugün manşetlerle rakiplerine iftira atanların, vesayet ortaklarıyla sivil siyasetin önünü tıkamaya çalışanların, ikili hukuk uygulayanların dönemindeyiz" diyerek sözlerine başlayan Özel, "Bugün 'Erdemliler Hareketi' olarak yola çıkanların, 'kumpasçılar, iftiracılar hareketine' dönen, paçalarından pislik akan ve bunu en çok birbirleri bilen ama bu kara düzeni devam ettirmeye çalışanların dönemindeyiz.
Saat 12.00 bir kesit. Bundan öncesi ve sonrası elbette farklı olarak. Ama bundan sonra AK Parti iktidarının savruluşunun ve tükenişinin önemli kilometre taşlarından birisi. şüphesiz AK Parti'nin iktidarı bugün bitmiyor ama başlamış olan tükeniş, savruluş ve yokoluş sürecinde önemli kilometre taşını geride bırakmaya geldik" dedi.
"Bir tane savcı, 80 yıllık maaşıyla alabileceği yatı alıcı gözle gezebiliyor"
Geçtiğimiz yıl Akın Gürlek'in İstanbul Cumhuriyet Başsavcılığı'na atanmasını hatırlatan Özel, "19 Mart günü darbenin bildirisini yayınladılar. Bildirinin ana manşeti 'Ekrem İmamoğlu 560 milyar lira yolsuzluk yaptı. Bu paralar ele geçirildi' oldu. O günden sonra bulduk dedikleri, dev kasalar dedikleri… Ne vinç var ne para var. 1 TL'sini ispatlayamadılar. Ardından her gün bir yeni haber" diyerek süreç içinde yaşanan operasyonları ve iddiaları hatırlattı.
Özel, şunları kaydetti:
"Şimdi öyle bir çorap söküğü başlayacak ki bu itiraflardan öyle bir yere gelecek ki bu iş bu iftiraları yapanlar itiraf yapmaya zorlandıklarını öyle anlatacaklar ki dünyanın en büyük organize kötülük hareketi çökecek. Dünya çapında izlenecek filmleri olacak. Yeter ki bu gösterilen cesaretler gösterilmeye devam edilsin. Biz de burada saat 17.00 sandıklar kapandı, kabus bitti diyebilelim. Devletin bütün imkanlarını elinde tutanların ne kadar kötüleşebildiklerini görmek açısından fevkalede önemli bir noktadayız.
Bir sürü savcı mütevazi lojmanlarda oturuyor ama bir savcı, 80 yıllık maaşıyla alabileceği yatı alıcı gözle gezebiliyor. Boğazda kendisine lojman tahsis edilmiş, sadece 56 milyon TL tadilatına verilebiliyor. Birazcık kafaları bozulunca bir tane beyaz toros koyup karşısına geçip fotoğraf çektirip bizi tehdit edebilen; Erdoğan 'bu ülke beyaz toroslardan çok çekti' dediği gün beyaz Toros paylaşabilen bir pervasızlıkla karşı karşıyayız. 90'ların JİTEM'cisi böyle cesur ve küstahdı, şimdi Erdoğan'ın Çağlayan'daki 'AK Torosçuları' bu noktaya gelmiş durumda.
"Çağlayan'da çok yönlü borsa var"
Öyle bir noktaya geldik ki bu çeteyle ilgili elimizdeki bütün bilgileri derledik 15 gün önce HSK'ya başvurduk. Ben bunları Meclis Başkanımıza biraz anlattım. 'Bunlar olur mu? Siz hukukçusunuz' dedim. İşte Numan Kurtulmuş'un yüzü. Bunları anlattığım AK Partililer de 'Çok vahim, biz de onaylamıyoruz' dedi. Herkesin bildiği bir gerçek bugün bütün somutluğuyla ortaya dökülmek zorunda. Tüm Çağlayan bilmiyorsa, tüm yargı bilmiyorsa, yüksek yargıda beni izleyenler bilmiyorsa, AK Partililer bilmiyorsa ki Türkiye'de yargıda, paraya pulla olan işler var, borsalar var, karar ona göre buna göre, avukatına göre çıkıyor…
Yalansa, buna inanmıyorsanız, şüphelenmiyorsanız ben namussuzum, şerefsizim. Ama hepiniz biliyorsunuz ki var bunlar, çeteleşti bunlar. Çağlayan'da çok yönlü borsa var, İBB'nin ayrı borsası var. Borsa içinde borsa var. Çağlayan'da onlarca borsa var. Uyuşturucu ticaretinin mücadelesinde bile bambaşka borsa var. Onun bile işini bitirebilen avukatı var, onun bile gidilebilen savcısı var. Tuz kokmadı, balçık oldu tuz, lağım patladı. Eğer Çağlayan'da yargı sisteminde bugün bir kokuşmuşluk, bir adamını bulmak, savcıyla eşlenik bir avukat sistemi, bir ucu maddiyata dayanan işler yok diyorsanız kapatn televizyonu burdan sonrasını izlemeyin.
Özel'den Adalet Bakanı'na çağrı
Adalet Bakanı kapatamazsın o televizyonu. Biliyorsun ki etrafına diyorsun ki 'ben de rahatsızım bunlardan' ama yok ki cesaretiniz tarihe geçesiniz. Adalet Bakanı bunlara karşı hamle yaptı, karşılığında gerekirse istifa etti namusuyla gitti Bartın'daki evine oturdu. Yap bunu göster. Sağına soluna ben de 'Akın'dan şikayetçiyim. Ben de Akın'a karşı şu başarıyı elde ettim' demekle olmuyor böyle işler beyefendiler.
Geçen hafta İBB Borsasının önemli bir bölümünü deşifre ettik. Sonra ne oldu biliyor musunuz? Hemen nerden biliyorsa o eve gittiler, birini arıyorlar, o evdeki aradıkları kişiyi bulamadılar annesini götürdüler. Sen nereye annesini götürüyorsun? Savcı 'evde yoksa yakınlarından birini alın gelin' demiş. Avukat gelince, 'Anasını nasıl tutarsın' deyince anasını saldılar. Evlat kendi ayağıyla gitti emniyete, 1,5 günde İstanbul'a götürdüler Vatan Emniyet'e, sonra hakim karşısına çıkardılar. İnat ettik bekledik, eldeki belgeleri HSK'ya vermedik ki onlar buna göre muamele etmesinler. O işlemler bitti, gittik HSK'ya başvurumuzu yaptık.
Şimdi buradan iddia ediyorum ki hatta biliyorum ki İBB soruşturması, İBB devasa bir yapı, 90 bin kişi çalışıyor. Burayla çalışan müteahhitlerin önemli bir kısmına gözaltı yapıp içeri koyuyorlar, sonra itirafçı yapıyorlar, dışarı çıkartıyorlar. Bu müteahhitlerin başına gelenler, yani doğru avukatın ona gitmesi, nasıl ifade vereceğini söylemesi ve bunu verirsen serbest kalacağın meselesi normal bir şey gibi gelmeye başladı kulağa. Soruşturma gizli yani savcı biliyor eve gittiğinde o evde ne bulduğunu, Tabi Sabah'a, Yenişafak'a veriyor ama aslında memleket bir hukuk devleti olsa o Yeni Şafak'a onun verilmesine soruşturma açıp o savcı bulunup, o savcıdan önce kurtulunup sonra adaletin peşinde koşarsınız.
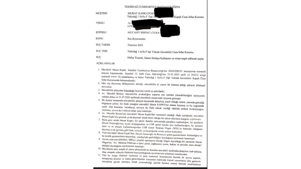
Örneğin geçen hafta yaşananlardan sonra İBB soruşturmasında tutuklu kişi Yener Toruner, Mehmet Yıldırım kendisine gelmiş, kızının düğünü ile ilgili konuşmuş, 'düğüne kadar çıkabilirsin' demiş, 'oğlun İBB'de çalışıyor' demiş, savcı da bunu biliyor, 'oğlanı da alırız, oğlana da yazık olacak' demiş. Ayrıca 'bu işi halledelim, gel güzelce imzanı at, şunları söyle' demiş. Kişi 'onu yapamam, bunu yapamam' deyince 'korkma Savcı Bey'in de haberi var' demiş. 'Ya ben bunu dersem adam beni başka bir şeyden mesul tutar' deyince, 'konuştuk bundan başka konulara girmeyecek' demiş. Bunların hepsini Sayın Yener Toruner, bir suç duyurusu olarak, satır satır yazarak verdi. Biz de bunu HSK'ya verdik.
Buradan somut olay sadece savcının bilmesi gereken bir şeyi avukat bilince Yener Toruner'e gidiyor ve konuşturamadıkları Fatih Keleş'e, 'Fatih Keleş'in kardeşine sarı bir zarfta küçük bir para verdik, 15 bin dolar falan de bari. Bu büyük bir şey değil.'
''Arama tutanağında ele geçirilenler itirafçılara bilgi olarak veriliyor''
Arama tutanağında adamın evinde sarı bir zarfın içinde 15 bin dolar bulunmuş, tutanağa geçirilmiş. 15 bin dolar büyük bir para. Arama günü kaç ay önce. Onu bugünkü iftiracıya 'sen ver' diye söyleniyor. İlişki kurulacak ki iddianame yazsınlar. Savcıların elindeki suç olmayan arama tutanakları… Örneğin evinde bulunmuş ipad'i 'rüşvet olarak ben ona verdim' diyebilirsin diyor. Geriye dönük ilişkilendirme. Bütün meseleyi bunun üzerine kurmaya çalışıyor.
Sayın Yener Toruner, kendisine yönelik baskıyı, tehdidi, şantajı, zorlamayı, teklif, her şeyi deşifre eden açıklamalarda bulundu. Ayrıca kendisine savcının sesi duyurulduğunun, yakınlarıyla konuşurken savcı ile konuşturulduğunu… Yani bir tane ya bir tane şu oturduğu Adalet Bakanı, oturduğu yerden bir harekete geçse, HSK'da bir tane adam gibi bu işi çözmek için işini yapsa, al savcıyı yüzleştir onunla, tıkır tıkır çözülür iş. Ama savcıları oraya yollayan, Ekrem'de olmayan suçu oldurmaya, olmayan çeteyi oldurmaya, olmayan suç örgütünü uydumaya gittiği için özel yetkili savcı olduğu için böyle yapmış. Bakın mağdurlar, suçlananlar ve suçlular avukat tutar bütün dünyada böyledir. bir tek Türkiye'de savcılar avukat tutuyor. Kuracakları kumpası hapishanedekilere ve ailelerine dayatmak, ikna etmek ya da onların kurtuluşu karşılığı menfaat temini elde etmek için."





Özel, konuya ilişkin CHP Genel Merkezinde bugün basın toplantısı düzenledi.
"Bizim 47 yıl gösterdiğimiz dirayeti 47 gün göstermeyen, demokrasiyi 31 Mart'tan sonra inilecek bir tren olarak gören, bugün manşetlerle rakiplerine iftira atanların, vesayet ortaklarıyla sivil siyasetin önünü tıkamaya çalışanların, ikili hukuk uygulayanların dönemindeyiz" diyerek sözlerine başlayan Özel, "Bugün 'Erdemliler Hareketi' olarak yola çıkanların, 'kumpasçılar, iftiracılar hareketine' dönen, paçalarından pislik akan ve bunu en çok birbirleri bilen ama bu kara düzeni devam ettirmeye çalışanların dönemindeyiz.
Saat 12.00 bir kesit. Bundan öncesi ve sonrası elbette farklı olarak. Ama bundan sonra AK Parti iktidarının savruluşunun ve tükenişinin önemli kilometre taşlarından birisi. şüphesiz AK Parti'nin iktidarı bugün bitmiyor ama başlamış olan tükeniş, savruluş ve yokoluş sürecinde önemli kilometre taşını geride bırakmaya geldik" dedi.
"Bir tane savcı, 80 yıllık maaşıyla alabileceği yatı alıcı gözle gezebiliyor"
Geçtiğimiz yıl Akın Gürlek'in İstanbul Cumhuriyet Başsavcılığı'na atanmasını hatırlatan Özel, "19 Mart günü darbenin bildirisini yayınladılar. Bildirinin ana manşeti 'Ekrem İmamoğlu 560 milyar lira yolsuzluk yaptı. Bu paralar ele geçirildi' oldu. O günden sonra bulduk dedikleri, dev kasalar dedikleri… Ne vinç var ne para var. 1 TL'sini ispatlayamadılar. Ardından her gün bir yeni haber" diyerek süreç içinde yaşanan operasyonları ve iddiaları hatırlattı.
Özel, şunları kaydetti:
"Şimdi öyle bir çorap söküğü başlayacak ki bu itiraflardan öyle bir yere gelecek ki bu iş bu iftiraları yapanlar itiraf yapmaya zorlandıklarını öyle anlatacaklar ki dünyanın en büyük organize kötülük hareketi çökecek. Dünya çapında izlenecek filmleri olacak. Yeter ki bu gösterilen cesaretler gösterilmeye devam edilsin. Biz de burada saat 17.00 sandıklar kapandı, kabus bitti diyebilelim. Devletin bütün imkanlarını elinde tutanların ne kadar kötüleşebildiklerini görmek açısından fevkalede önemli bir noktadayız.
Bir sürü savcı mütevazi lojmanlarda oturuyor ama bir savcı, 80 yıllık maaşıyla alabileceği yatı alıcı gözle gezebiliyor. Boğazda kendisine lojman tahsis edilmiş, sadece 56 milyon TL tadilatına verilebiliyor. Birazcık kafaları bozulunca bir tane beyaz toros koyup karşısına geçip fotoğraf çektirip bizi tehdit edebilen; Erdoğan 'bu ülke beyaz toroslardan çok çekti' dediği gün beyaz Toros paylaşabilen bir pervasızlıkla karşı karşıyayız. 90'ların JİTEM'cisi böyle cesur ve küstahdı, şimdi Erdoğan'ın Çağlayan'daki 'AK Torosçuları' bu noktaya gelmiş durumda.
"Çağlayan'da çok yönlü borsa var"
Öyle bir noktaya geldik ki bu çeteyle ilgili elimizdeki bütün bilgileri derledik 15 gün önce HSK'ya başvurduk. Ben bunları Meclis Başkanımıza biraz anlattım. 'Bunlar olur mu? Siz hukukçusunuz' dedim. İşte Numan Kurtulmuş'un yüzü. Bunları anlattığım AK Partililer de 'Çok vahim, biz de onaylamıyoruz' dedi. Herkesin bildiği bir gerçek bugün bütün somutluğuyla ortaya dökülmek zorunda. Tüm Çağlayan bilmiyorsa, tüm yargı bilmiyorsa, yüksek yargıda beni izleyenler bilmiyorsa, AK Partililer bilmiyorsa ki Türkiye'de yargıda, paraya pulla olan işler var, borsalar var, karar ona göre buna göre, avukatına göre çıkıyor…
Yalansa, buna inanmıyorsanız, şüphelenmiyorsanız ben namussuzum, şerefsizim. Ama hepiniz biliyorsunuz ki var bunlar, çeteleşti bunlar. Çağlayan'da çok yönlü borsa var, İBB'nin ayrı borsası var. Borsa içinde borsa var. Çağlayan'da onlarca borsa var. Uyuşturucu ticaretinin mücadelesinde bile bambaşka borsa var. Onun bile işini bitirebilen avukatı var, onun bile gidilebilen savcısı var. Tuz kokmadı, balçık oldu tuz, lağım patladı. Eğer Çağlayan'da yargı sisteminde bugün bir kokuşmuşluk, bir adamını bulmak, savcıyla eşlenik bir avukat sistemi, bir ucu maddiyata dayanan işler yok diyorsanız kapatn televizyonu burdan sonrasını izlemeyin.
Özel'den Adalet Bakanı'na çağrı
Adalet Bakanı kapatamazsın o televizyonu. Biliyorsun ki etrafına diyorsun ki 'ben de rahatsızım bunlardan' ama yok ki cesaretiniz tarihe geçesiniz. Adalet Bakanı bunlara karşı hamle yaptı, karşılığında gerekirse istifa etti namusuyla gitti Bartın'daki evine oturdu. Yap bunu göster. Sağına soluna ben de 'Akın'dan şikayetçiyim. Ben de Akın'a karşı şu başarıyı elde ettim' demekle olmuyor böyle işler beyefendiler.
Geçen hafta İBB Borsasının önemli bir bölümünü deşifre ettik. Sonra ne oldu biliyor musunuz? Hemen nerden biliyorsa o eve gittiler, birini arıyorlar, o evdeki aradıkları kişiyi bulamadılar annesini götürdüler. Sen nereye annesini götürüyorsun? Savcı 'evde yoksa yakınlarından birini alın gelin' demiş. Avukat gelince, 'Anasını nasıl tutarsın' deyince anasını saldılar. Evlat kendi ayağıyla gitti emniyete, 1,5 günde İstanbul'a götürdüler Vatan Emniyet'e, sonra hakim karşısına çıkardılar. İnat ettik bekledik, eldeki belgeleri HSK'ya vermedik ki onlar buna göre muamele etmesinler. O işlemler bitti, gittik HSK'ya başvurumuzu yaptık.
Şimdi buradan iddia ediyorum ki hatta biliyorum ki İBB soruşturması, İBB devasa bir yapı, 90 bin kişi çalışıyor. Burayla çalışan müteahhitlerin önemli bir kısmına gözaltı yapıp içeri koyuyorlar, sonra itirafçı yapıyorlar, dışarı çıkartıyorlar. Bu müteahhitlerin başına gelenler, yani doğru avukatın ona gitmesi, nasıl ifade vereceğini söylemesi ve bunu verirsen serbest kalacağın meselesi normal bir şey gibi gelmeye başladı kulağa. Soruşturma gizli yani savcı biliyor eve gittiğinde o evde ne bulduğunu, Tabi Sabah'a, Yenişafak'a veriyor ama aslında memleket bir hukuk devleti olsa o Yeni Şafak'a onun verilmesine soruşturma açıp o savcı bulunup, o savcıdan önce kurtulunup sonra adaletin peşinde koşarsınız.
Örneğin geçen hafta yaşananlardan sonra İBB soruşturmasında tutuklu kişi Yener Toruner, Mehmet Yıldırım kendisine gelmiş, kızının düğünü ile ilgili konuşmuş, 'düğüne kadar çıkabilirsin' demiş, 'oğlun İBB'de çalışıyor' demiş, savcı da bunu biliyor, 'oğlanı da alırız, oğlana da yazık olacak' demiş. Ayrıca 'bu işi halledelim, gel güzelce imzanı at, şunları söyle' demiş. Kişi 'onu yapamam, bunu yapamam' deyince 'korkma Savcı Bey'in de haberi var' demiş. 'Ya ben bunu dersem adam beni başka bir şeyden mesul tutar' deyince, 'konuştuk bundan başka konulara girmeyecek' demiş. Bunların hepsini Sayın Yener Toruner, bir suç duyurusu olarak, satır satır yazarak verdi. Biz de bunu HSK'ya verdik.
Buradan somut olay sadece savcının bilmesi gereken bir şeyi avukat bilince Yener Toruner'e gidiyor ve konuşturamadıkları Fatih Keleş'e, 'Fatih Keleş'in kardeşine sarı bir zarfta küçük bir para verdik, 15 bin dolar falan de bari. Bu büyük bir şey değil.'
''Arama tutanağında ele geçirilenler itirafçılara bilgi olarak veriliyor''
Arama tutanağında adamın evinde sarı bir zarfın içinde 15 bin dolar bulunmuş, tutanağa geçirilmiş. 15 bin dolar büyük bir para. Arama günü kaç ay önce. Onu bugünkü iftiracıya 'sen ver' diye söyleniyor. İlişki kurulacak ki iddianame yazsınlar. Savcıların elindeki suç olmayan arama tutanakları… Örneğin evinde bulunmuş ipad'i 'rüşvet olarak ben ona verdim' diyebilirsin diyor. Geriye dönük ilişkilendirme. Bütün meseleyi bunun üzerine kurmaya çalışıyor.
Sayın Yener Toruner, kendisine yönelik baskıyı, tehdidi, şantajı, zorlamayı, teklif, her şeyi deşifre eden açıklamalarda bulundu. Ayrıca kendisine savcının sesi duyurulduğunun, yakınlarıyla konuşurken savcı ile konuşturulduğunu… Yani bir tane ya bir tane şu oturduğu Adalet Bakanı, oturduğu yerden bir harekete geçse, HSK'da bir tane adam gibi bu işi çözmek için işini yapsa, al savcıyı yüzleştir onunla, tıkır tıkır çözülür iş. Ama savcıları oraya yollayan, Ekrem'de olmayan suçu oldurmaya, olmayan çeteyi oldurmaya, olmayan suç örgütünü uydumaya gittiği için özel yetkili savcı olduğu için böyle yapmış. Bakın mağdurlar, suçlananlar ve suçlular avukat tutar bütün dünyada böyledir. bir tek Türkiye'de savcılar avukat tutuyor. Kuracakları kumpası hapishanedekilere ve ailelerine dayatmak, ikna etmek ya da onların kurtuluşu karşılığı menfaat temini elde etmek için."





Yorumlar
Yorum bulunmuyor.
















































































